The low-pass filter frequency response

A low pass filter attenuates the amplitude of frequencies above the filter centre frequency f0 while leaving those below f0 unchanged. A sine wave of amplitude Vin and frequency f input to the filter will output a sine wave with amplitude Vout and the same f but phase shifted to some extent from the input signal .

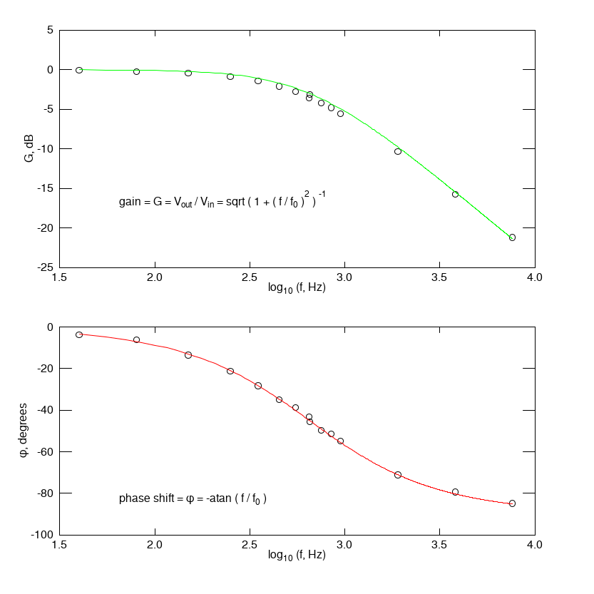
Shown are typical gain G and phase shift φ plots rendered using eXtrema. The centre frequency of a low-pass filter is

f0 = 1/(2πRC).

The filter gain G(f) is the ratio of input and output amplitudes

G(f) = Vout(f)/Vin(f) = 1 / (sqrt ( 1 + ( f / f0 )2 ))

and the phase shift of the output signal relative to the input is

φ(f) = -atan ( f / f0 )
Shown is the schematic diagram of the RC low pass filter used to generate the plots in the previous slide. Begin by assembling the circuit shown with measured values of C~0.01μF and R~10kΩ, then connect Vin to the scope CH1 input and Vout to CH2.

Calculate the theoretical F0 for this filter, then make a table of n well chosen test frequencies fn that will be used to plot G(f) and φ(f). For each of these frequencies:

  • verify that CH1, CH2 Voltage is set to 1X;
  • measure and tabulate Vin(fn), Vout(fn);
  • measure the time delay Δtn between Vin(fn) and Vout(fn);
  • calculate and tabulate G(fn), Tn, φ(fn).
Plot log G(f) vs. log(f) and φ(f) vs. log(f). From the graphs, identify and estimate the gain and φ at f0 and the filter roll-off rate in dB/octave. Add more fn points to the graphs, if necessary.
  • What are the theoretical values for G(f0) and φ(f0)?
  • Compare these with the results from the graphs.

Gain and φ plots of a low-pass filter

You can also determine some values for f0 by fitting the G(f) and φ(f) equations to your data sets as shown in the first slide. To perform these fits, use eXtrema or any other software.

PhysTks, shown here, is a simple to use plotting and fitting app. Type PhysTks in a terminal window, then enter your data and click Draw to plot the data set. You do not need to calculate log(G) and log(f), simply check the Xlog and Ylog boxes.

To fit the G(f) equation enter: 1.0/sqrt(1.0+(x/A)^2) and set the fit parameter A to the calculated f0 as an initial guess. Check Fit, click Draw; the new A value displayed is the f0 result from the fit. Check also that the rolloff is as expected.

For the φ fit, set A as before, then enter -atan(x/A)*180/$pi since the atan result will be in radians.

  • Compare these fitted f0 results with the calculated f0.

The Lissajous curve

Assuming that CH1 (Vx) monitors Vin(f) and CH2 (Vy) monitors Vout(f), then the gain and the phase shift are given by:

G(f) = b / a    and     φ(f) = arcsin ( c / b )

To center the ellipse on the scope screen, click the menu button in the HORIZONTAL scope settings, then:

  • select CH1, click Coupling button unitl appears;
  • place the resulting vertical line over the y-axis;
  • click Coupling button until appears;
  • repeat for CH2 to place the horizontal line over the x-axis.
Set the FG frequency to f0 and measure a, b and c, then compare G(f0) and φ(f0) with your previous results.